Startseite » Themen & Texte » Physikalische Chemie » Innere Energie (Übersicht)Zurück zur vorherigen SeiteSitemap  Impressum/Datenschutzerklärung

Thermodynamik: Innere Energie

Die Innere Energie ist die Summe aller Energien in einem System.

Änderung der Inneren Energie
Wärmeaustausch bei Temperaturänderung Volumenarbeit
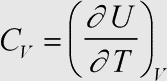
Wärmekapazität für dV=0 Annahme:
Einzig mögliche
Arbeitsform ist
Volumenarbeit.

Definition von H
siehe unter 'Enthalpie'.

Wärmekapazität für dp=0

Für den Zusammenhang von Cp und CV gilt bei einem idealen Gas:


© Alexander Laatsch, letzte Aktualisierung am 20.12.07