Startseite » Themen & Texte » Physikalische Chemie » Gasgleichungen (Übersicht)Zurück zur vorherigen SeiteSitemap  Impressum/Datenschutzerklärung

Thermodynamik: Gasgleichungen

Ideales Gasgesetz Ideales Gasgesetz ideal
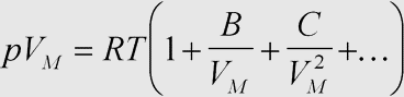
Virialgleichung Virialgleichung real
(Grenzwert)
van-der-Waals'sche
Gleichung
van-der-Waals'sche Gleichung genähert
real

Für praktische Anwendungen: Berechnungen mit der van-der-Waals-Gleichung

kritische Größen: Zu den kritischen Größen eines Gases gehören neben der kritischen Temperatur auch der kritische Druck und das kritische Volumen. Diese drei Größen charakterisieren den kritischen Punkt eines bestimmten Gases, der direkt an der Grenze zur Verflüssigung liegt: Ab seiner kritischen Temperatur aufwärts läßt sich ein Gas nicht mehr verflüssigen. Es bildet sich stattdessen ein überkritisches Fluid, das durchaus flüssigkeitstypische Dichten aufweisen kann, es bleibt jedoch definitionsgemäß ein Gas, da kein Phasenübergang - charakterisiert durch eine Phasengrenze - auftritt.
Boyle-Temperatur: Bei der Boyle-Temperatur eines Gases wird der zweite Virialkoeffizient null. Da die höheren Glieder der Gleichung geringeren Einfluß haben, gehorcht das Gas bei dieser Temperatur über weite Druckbereiche (angefangen bei p = 0) sehr gut dem idealen Gasgesetz.
Man kann auch Isothermen für pV gegen p auftragen. Für Isothermen unterhalb der Boyle-Temperatur ergibt sich jeweils ein Minimum mit waagerechter Tangente. Verbindet man diese Punkte, so erhält man die sogenannte 'Boyle-Kurve', die gemeinsam mit der Isotherme der Boyle-Temperatur die Achse p → 0 schneidet.


© Alexander Laatsch, letzte Aktualisierung am 24.01.07